6541. Nigericin

Nomenclature

CAS number: 28380-24-7
Antibiotic K 178; antibiotic X-464; azalomycin M; helixin C; polyetherin A.
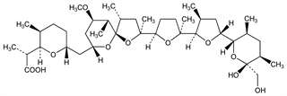
C40H68O11; mol wt 724.96.
C 66.27%, H 9.45%, O 24.28%.

Description and references

Polyether antibiotic which affects ion transport and ATPase activity in mitochondria; produced by Streptomyces hygroscopicus E-749 and structurally related to monensin, q.v. Isoln, characterization, production: R. L. Harned et al., Antibiot. Chemother. 1, 594 (1951); J. Berger et al., J. Am. Chem. Soc. 73, 5295 (1951); J. Shoji et al., J. Antibiot. 21, 402 (1968). Structure: L. K. Steinrauf et al., Biochem. Biophys. Res. Commun. 33, 29 (1968); T. Kubota et al., Chem. Commun. 1968, 1541; T. Kubota, S. Matsutani, J. Chem. Soc. C 1970, 695. Use in coccidiosis: M. Gorman, R. L. Hamill, US 3555150 (1971 to Lilly). Effect on calcium uptake and membrane potential in mitochondria: H. Rottenberg, A. Scarpa, Biochemistry 13, 4811 (1974). Stimulation of ATPase activity: H. Sze, Proc. Natl. Acad. Sci. USA 77, 5904 (1980). Approach to synthesis: C. P. Holmes, P. A. Bartlett, J. Org. Chem. 54, 98 (1989).

Chemical structure

Properties

Colorless needles, mp 183.5-185°. [α]D24 +36.2° (c = 0.842 in CHCl3). Sol in alcohols, acetone, ethyl acetate, chloroform, benzene, ether; slightly sol in satd hydrocarbons. Practically insol in water. LD50 in mice (mg/kg): 10-15 i.p. (Shoji); also reported as 2.5 i.p. (Harned).

Derivative

Sodium salt.
C40H67NaO11; mol wt 746.94.
C 64.32%, H 9.04%, Na 3.08%, O 23.56%.

Properties

Crystals, mp 245-255° (dec). Sol in chloroform. Practically insol in water.