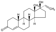
6717. Norvinisterone

Nomenclature

CAS number: 6795-60-4
(17α)-17-Hydroxy-19-norpregna-4,20-dien-3-one; 17-hydroxy-17α-vinyl-4-estren-3-one; 17-hydroxy-13-methyl-17α-vinyl-1,2,3,6,7,8,9,10,11,12,13,14,16,17-tetradecahydro-15H-cyclopenta[a]phenanthren-3-one; 17α-vinyl-19-nortestosterone; Nor-Progestelea.
C20H28O2; mol wt 300.44.
C 79.95%, H 9.39%, O 10.65%.

Description and references

Prepn: Colton, US 2655518; US 2802015 (both 1953 to Searle).

Chemical structure

Properties

Crystals from ethyl acetate + petr ether, mp 169-171°. [α]D +36°.

Therapeutic Category

Progestogen.

Keywords

Progestogen