6843. Omapatrilat

Nomenclature

CAS number: 167305-00-2
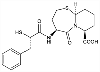
(4S,7S,10aS)-Octahydro-4-[[(2S)-2-mercapto-1-oxo-3-phenylpropyl]amino]-5-oxo-7H-pyrido[2,1-b][1,3]thiazepine-7-carboxylic acid; BMS-186716; Vanlev (BMS).
C19H24N2O4S2; mol wt 408.53.
C 55.86%, H 5.92%, N 6.86%, O 15.67%, S 15.70%.

Description and references

Dual metalloprotease inhibitor of neutral endopeptidase (NEP) and angiotensin converting enzyme (ACE). Prepn: J. A. Robl et al., EP 629627; idem, US 5508272 (1994, 1996 both to Bristol-Myers Squibb); and pharmacological evaluation: idem et al., J. Med. Chem. 40, 1570 (1997). HPLC-MS determn in rat plasma: M. Jemal, D. J. Hawthorne, J. Chromatogr. B 698, 123 (1997). Antihypertensive activity in rats: N. C. Trippodo et al., Am. J. Hypertens. 11, 363 (1998). Clinical pharmacodynamics: C. Massien et al., Clin. Pharmacol. Ther. 65, 448 (1999). Review of pharmacology and clinical use: M. Weber, Am. J. Hypertens. 12, 139S-147S (1999). Clinical trial in heart failure: J. L. Rouleau et al., Lancet 356, 615 (2000).

Chemical structure

Properties

Fine, white solid, mp 218-220°. [α]D -78.9° (c = 0.46 in DMF).

Therapeutic Category

Antihypertensive.

Keywords

Vasopeptidase Inhibitor; Antihypertensive