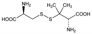
7089. Penicillamine Cysteine Disulfide

Nomenclature

CAS number: 18840-45-4
3-[[(2R)-2-Amino-2-carboxyethyl]dithio]-d-valine; 3,3-dimethyl-3-3′-dithiodialanine; 1,6-diamino-5-5-dimethyl-3,4-dithiahexane-1,6-dicarboxylic acid.
C8H16N2O4S2; mol wt 268.35.
C 35.81%, H 6.01%, N 10.44%, O 23.85%, S 23.90%.

Description and references

Prepn: Tabachnick et al., Nature 174, 701 (1954); Sch"oberl et al., Angew. Chem. 68, 213 (1956); Sch"oberl, Grafje, Ann. 617, 71 (1958); Levine, Nature 187, 940 (1960).

Chemical structure

Properties

Crystals, mp 195°.