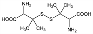
7090. Penicillamine Disulfide

Nomenclature

CAS number: 312-10-7
3,3′-Dithiobisvaline; 3,3′-dithiodivaline; 3,3,3′,3′-tetramethylcystine.
C10H20N2O4S2; mol wt 296.41.
C 40.52%, H 6.80%, N 9.45%, O 21.59%, S 21.64%.

Description and references

Prepn: Süs, Ann. 561, 31 (1948); Berg et al., GB 621915 (1949 to Merck & Co.); Butenandt et al., Z. Physiol. Chem. 285, 238 (1950).

Chemical structure

Derivative

dl-Form.

Nomenclature

CAS number: 21174-80-1

Properties

Crystals, mp 181-183°.

Derivative

d-Form.

Nomenclature

CAS number: 20902-45-8

Properties

Crystals, mp 204-205°. [α]D23 +27° (c = 1.46 in 1N HCl).

Derivative

l-Form.

Nomenclature

CAS number: 113626-33-8

Properties

Crystals, mp 207°. [α]D22 -26° (1N HCl).