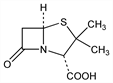
7091. Penicillanic Acid

Nomenclature

CAS number: 87-53-6
(2S,5R)-3,3-Dimethyl-7-oxo-4-thia-1-azabicyclo[3.2.0]heptane-2-carboxylic acid.

Description and references

Building block of penicillin, devoid of significant antibacterial activity: Sheehan et al., J. Am. Chem. Soc. 75, 3292 (1953); 81, 5838 (1959). Separation from its esters and other penicillins by gas chromatog: Evard et al., Nature 201, 1124 (1964). See also 6-Aminopenicillanic Acid.

Chemical structure