7380. Phylloquinone

Nomenclature

CAS number: 84-80-0
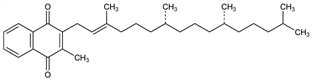
2-Methyl-3-[(2E,7R,11R)-3,7,11,15-tetramethyl-2-hexadecenyl]-1,4-naphthalenedione; 2-methyl-3-phytyl-1,4-naphthoquinone; 3-phytylmenadione; phytomenadione; phytonadione; vitamin K1; AquaMephyton (Merck & Co.); Konakion (Roche); Mephyton (Merck & Co.); Mono-Kay (Abbott); Veda-K1 (Vedco); Veta-K1 (Sanofi).
C31H46O2; mol wt 450.70.
C 82.61%, H 10.29%, O 7.10%.

Description and references

Photosynthetic electron carrier; occurs widely in green plants, algae, photosynthetic bacteria. Major dietary source of vitamin K, q.v. Isoln from alfalfa: H. Dam et al., Helv. Chim. Acta 22, 310 (1939). Structure: D. W. MacCorquodale et al., J. Biol. Chem. 131, 357 (1939); L. F. Fieser, J. Am. Chem. Soc. 61, 3467 (1939). Partial syntheses from menadione and phytol: H. J. Almquist, A. A. Klose, ibid. 2557; S. B. Binkley et al., ibid. 2558; L. F. Fieser, ibid. 2559. Stereochemistry and total synthesis: H. Mayer et al., Helv. Chim. Acta 47, 221 (1964); L. M. Jackman et al., ibid. 48, 1332 (1965). Synthesis using a π-allylic nickel(I) complex: Sato et al., J. Chem. Soc. Perkin Trans. 1 1973, 2289. Alternate synthesis: Y. Tachibana, Chem. Lett. 1977, 901. Metabolic studies: M. J. Shearer et al., Br. J. Haematol. 18, 297 (1970); 22, 579 (1972). The cis isomer is not bioactive: J. T. Matschiner et al., J. Nutr. 102, 625 (1972). Isoln from chloroplasts: E. Interschick-Niebler, H. K. Lichtenthaler, Z. Naturforsch. 36C 276 (1981). Role in photosystem I: K. Brettel et al., FEBS Lett. 203, 220 (1986). Conversion in vivo to menaquinone-4, q.v.: H. H. W. Thijssen, M. J. Drittij-Reijnders, Br. J. Nutr. 72, 415 (1994). HPLC determn in foods: S. L. Booth et al., J. Agric. Food Chem. 42, 295 (1994). Clinical efficacy in hemorrhagic disease of newborn: P. M. Loughnan, P. N. McDougall, J. Paediatr. Child Health 29, 171 (1993). Comprehensive description: M. M. A. Hassan et al., Anal. Profiles Drug Subs. 17, 449-531 (1988).

Chemical structure

Properties

Yellow viscous oil. [α]D25 -0.28° (dioxane). nD20 1.5263. uv max (petr ether): 242, 248, 260, 269, 325 nm (E1%1cm 396, 419, 383, 387, 68). Insol in water. Sparingly sol in methanol; sol in ethanol, acetone, benzene, petr ether, hexane, dioxane, chloroform, ether, other fat solvents and in vegetable oils. Stable to air and moisture, but dec in sunlight. Unaffected by dil acids, but destroyed by solns of alkali hydroxides and by reducing agents. Keep well closed and protected from light.

Derivative

Dihydro form.

Nomenclature

CAS number: 572-96-3
Phytonadiol; dihydrovitamin K1; α-phyllohydroquinone.

Properties

Waxy mass. Freely sol in ether; sparingly sol in petr ether. Insol in water.

Derivative

Dihydro form sodium diphosphate.

Nomenclature

CAS number: 5988-22-7
Phytonadiol sodium diphosphate; Kayhydrin.
C31H48Na2O8P2; mol wt 656.64.
C 56.70%, H 7.37%, Na 7.00%, O 19.49%, P 9.43%.

Properties

mp 138°. Sol in water and methanol.

Derivative

2,3-Epoxide.

Nomenclature

CAS number: 25486-55-9
Vitamin K1 epoxide; vitamin K1 oxide.
C31H46O3; mol wt 466.70.
C 79.78%, H 9.93%, O 10.28%.

Description and references

Prepn: Fieser et al., J. Am. Chem. Soc. 61, 3216 (1939).

Properties

Colorless oil. uv max (95% alc): 259, 305 nm (log EM 3.79, 3.31). Insol in water.

Therapeutic Category

Vitamin (prothrombogenic).

Therapeutic Category (Veterinary)

Vitamin (prothrombogenic); antidote for dicoumarol poisoning.

Keywords

Vitamin/Vitamin Source; Vitamin K