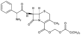
7513. Pivcefalexin

Nomenclature

CAS number: 63836-75-9
(6R,7R)-7-[[(2R)-Aminophenylacetyl]amino]-3-methyl-8-oxo-5-thia-1-azabicyclo[4.2.0]oct-2-ene-2-carboxylic acid (2,2-dimethyl-1-oxopropoxy)methyl ester; 7-(d-2-amino-2-phenylacetamido)desacetoxycephalosporanic acid pivaloyloxymethyl ester; pivcephalexin.
C22H27N3O6S; mol wt 461.53.
C 57.25%, H 5.90%, N 9.10%, O 20.80%, S 6.95%.

Description and references

Orally active semi-synthetic cephalosporin antibiotic; deriv of cephalexin, q.v. Prepn: W. O. Godtfredsen, E. T. Binderup, DE 1951012 (1970 to L"ovens Kemiske Fabrik), C.A. 72, 132761v (1970). Pharmacology: P. Foresta et al., Arzneim.-Forsch. 27, 819 (1977). Absorption and excretion: E. Trabucchi et al., Clin. Ther. 81, 299 (1977). Clinical trial: C. Vittorini et al., Arzneim.-Forsch. 31, 1163 (1981).

Chemical structure

Derivative

Hydrochloride.

Nomenclature

CAS number: 27726-31-4
ST-21; Ausocef (Ausonia); Bencef (Fargal-Pharmasint); Cefalen (Lenza); Cefalex (Von Boch); Pivacef (Firma); Sigmacef (Sigma Tau).
C22H27N3O6S.HCl; mol wt 497.99.
C 53.06%, H 5.67%, N 8.44%, O 19.28%, S 6.44%, Cl 7.12%.

Therapeutic Category

Antibacterial.

Keywords

Antibacterial (Antibiotics); β-Lactams; Cephalosporins