7837. Propoxycaine Hydrochloride

Nomenclature

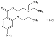
CAS number: 550-83-4
4-Amino-2-propoxybenzoic acid 2-diethylaminoethyl ester hydrochloride; 2-diethylaminoethyl 4-amino-2-propoxybenzoate hydrochloride; 2-diethylaminoethyl 2-propoxy-4-aminobenzoate hydrochloride; Ravocaine Hydrochloride (Cook-Waite); Blockain Hydrochloride (Sterling Winthrop).
C16H27ClN2O3; mol wt 330.85.
C 58.08%, H 8.23%, Cl 10.72%, N 8.47%, O 14.51%.

Description and references

Prepn: Clinton, Laskowski, US 2689248 (1954 to Sterling Drug).

Chemical structure

Properties

White, odorless crystals, mp 148-150°. Discolors upon prolonged exposure to light and to air. Very sol in water; slightly sol in alcohol, chloroform. Practically insol in ether. pH of a 2% aq soln 5.4.

Therapeutic Category

Anesthetic (local).

Keywords

Anesthetic (Local)