8167. Retrorsine

Nomenclature

CAS number: 480-54-6
12,18-Dihydroxysenecionan-11,16-dione; β-longilobine.
C18H25NO6; mol wt 351.39.
C 61.52%, H 7.17%, N 3.99%, O 27.32%.

Description and references

Hepatotoxic pyrrolizidine alkaloid; common constituent of Senecio species. Isoln from Senecio retrorsus DC, Compositae: R. H. F. Manske, Can. J. Chem. 5, 651 (1931); G. Barger et al., J. Chem. Soc. 1935, 11; from Crotalaria usaramoensis E. G. Baker, Leguminosae: C. C. J. Culvenor, L. W. Smith, Aust. J. Chem. 19, 2127 (1966). Structure: S. M. H. Christie et al., J. Chem. Soc. 1949, 1700; E. C. Leisegang, F. L. Warren, ibid. 1950, 702. Identity with β-longilobine: F. L. Warren et al., J. Am. Chem. Soc. 72, 1421 (1950). Review and evaluation of toxicity and carcinogenicity studies: IARC Monographs 10, 303-312, 333-342 (1976). Comprehensive reviews of pyrrolizidine alkaloids: L. B. Bull et al., The Pyrrolizidine Alkaloids (North Holland, Amsterdam, 1968) 293 pp; F. L. Warren in The Alkaloids vol. 12, R. H. F. Manske, Ed. (Academic Press, New York, 1970) pp 245-331.

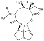
Chemical structure

Properties

Crystals from ethyl acetate, mp 212° (Barger et al.); 216-216.5° (Bull et al.). [α]D18 -17.6° (c = 1.99 in ethanol). uv max (water): 217 nm (log ε 3.85). Readily sol in alcohol, chloroform; slightly sol in water, acetone, ethyl acetate; practically insol in ether.

Derivative

N-Oxide.

Nomenclature

Isatidine; 12,18-dihydroxysenecionan-11,16-dione-4-oxide; retrorsine N-oxide.
C18H25NO7; mol wt 367.39.
C 58.85%, H 6.86%, N 3.81%, O 30.48%.

Description and references

Isolated from Senecio species. Review and evaluation of carcinogenicity and toxicity studies: IARC Monographs 10, 269-273 (1976).

Properties

Crystals from ethanol, mp 140.5-141.5° (Christie et al.).