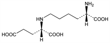
8312. l-Saccharopine

Nomenclature

CAS number: 997-68-2
N-(5-Amino-5-carboxypentyl)-l-glutamic acid; ε-N-(l-glutar-2-yl)-l-lysine.
C11H20N2O6; mol wt 276.29.
C 47.82%, H 7.30%, N 10.14%, O 34.74%.

Description and references

A lysine precursor in the aminoadipic acid-lysine pathway in yeast: Darling, Larsen, Acta Chem. Scand. 15, 743 (1961); Kjaer, Larsen, ibid. 750; Kuo et al., Biochem. Biophys. Res. Commun. 8, 227 (1962); Trupin, Broquist, J. Biol. Chem. 240, 2524 (1965); Jones, Broquist, ibid. 241, 3430 sqq. (1966). Isoln from mycelium of the yeast Candida utilis: Marimoto, Yamano, Biochem. Z. 340, 155 (1964).

Chemical structure

Properties

Hydrated crystals; loses water of crystn over P2O5 at 100°. Dec 240-248°, when anhydr. [α]D23 +33.6° (c = 1 in 0.5N HCl); [M]D +93°. pK2 2.6; pK3 4.1; pK4 9.2; pK5 10.3. Sparingly sol in water, ethanol. Readily sol in alkaline solns and in strong acids.