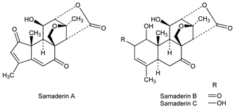
8345. Samaderins

Description and references

Antitumor agents isolated from the bark and seed of Samadera indica Gaertn, Simaroubaceae: van der Marck, Arch. Pharm. 239, 96 (1901). Separable into three components, samaderins A, B and C: Polonsky et al., Bull. Soc. Chim. Fr. 1962, 1715. According to Zylber et al., ibid. 1963, 1322, samaderin C is identical with samaderoside A isolated by Mitra, Gregg, Naturwissenschaften 14, 327 (1962). Structure of B and C: Zylber, Polonsky, Bull. Soc. Chim. Fr. 1964, 2016. Structure of A: M. C. Wani et al., Chem. Commun. 1977, 295. Crystal structure of A: K. D. Onan, A. T. McPhail, J. Chem. Res. Synop. 1978, 14.

Chemical structure

Derivative

Samaderin A.
C18H18O6; mol wt 330.33.
C 65.45%, H 5.49%, O 29.06%.

Properties

mp 253-255°. [α]D25 -31.3° (c = 0.259 in pyridine). uv max (methanol): 288 nm (ε 13400).

Derivative

Samaderin B.
C19H22O7; mol wt 362.37.
C 62.98%, H 6.12%, O 30.91%.

Properties

Prisms from ethyl acetate, mp 235-240°.

Derivative

Samaderin C.
C19H24O7; mol wt 364.39.
C 62.63%, H 6.64%, O 30.74%.

Properties

Shiny plates from ethyl acetate+ alcohol, mp 265-268°. Sol in pyridine. Practically insol in ether. Very sparingly sol in other org solvents.