8710. Solasonine

Nomenclature

CAS number: 19121-58-5
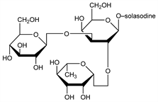
(3β,22α,25R)-Spirosol-5-en-3-yl O-6-deoxy-α-l-mannopyranosyl-(1→2)-O-[β-d-glucopyranosyl-(1→3)]-β-d-galactopyranoside; solanine-S; purapurine.
C45H73NO16; mol wt 884.06.
C 61.14%, H 8.32%, N 1.58%, O 28.96%.

Description and references

From Solanum aviculare Forst F., S. sodomeum L., S. xanthocarpum Schrad & Wendl., Solanaceae: Bell, Briggs, J. Chem. Soc. 1942, 1; Briggs et al., ibid. 1942, 3; Kuhn, Lw, Ber. 88, 289 (1955). Isoln from other S. spp: Briggs, Cambie, J. Chem. Soc. 1958, 1422; Briggs et al., ibid. 1961, 4645. Paper chromatography: Szendey, Arch. Pharm. 290, 563 (1957). Structure: Briggs et al., J. Chem. Soc. 1963, 2848. Enzymic decompn: Guseva, Pasechnichenko, Biokhimiya 24, 563 (1959).

Chemical structure

Properties

Needles from methanol, sinters 296°, mp 301-303°. [α]D23 88° (c = 1.01 in pyridine); [α]D22 74.5° (c = 0.51 in methanol). Sol in hot alc, hot dioxane; slightly sol in hot water, dil acetic acid. Practically insol in chloroform, ether.