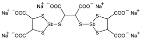
8812. Stibocaptate

Nomenclature

CAS number: 27279-76-1
2,2′-[(1,2-Dicarboxy-1,2-ethanediyl)bis(thio)]bis-1,3,2-dithiastibolane-4,5-dicarboxylic acid hexasodium salt; 2,3-dimercaptosuccinic acid cyclic ester with antimonic acid, diester with 2,3-dimercaptosuccinic acid hexasodium salt; 2,3-dimercaptosuccinic acid cyclic thioantimonate (III) S,S-diester with 2,3-dimercaptosuccinate hexasodium salt; sodium antimony-2,3-meso-dimercaptosuccinate; “antimony dimercaptosuccinate”; TWSb; Ro-4-1544/6; SB-58; Astiban (Roche).
C12H6Na6O12S6Sb2; mol wt 916.02.
C 15.73%, H 0.66%, Na 15.06%, O 20.96%, S 21.00%, Sb 26.58%.

Description and references

Prepn: Friedheim, US 2880222 (1959). Prepn and antischistosomal activity: J.-K. Hsu, M.-K. Ch'en, K'o Hsueh T'ung Pao 1966, 978, C.A. 65, 17580e (1966). Toxicity data: Ercoli, Proc. Soc. Exp. Biol. Med. 129, 284 (1968).

Chemical structure

Properties

White or slightly yellowish-green powder. Hygroscopic, unstable when moistened. Sol in water. LD50 s.c. in mice: 500 mg Sb/kg (Ercoli).

Note

Stibocaptate described as the tripotassium salt: Friedheim et al., Am. J. Trop. Med. Hyg. 3, 714 (1954).

Therapeutic Category

Anthelmintic (Schistosoma).

Keywords

Anthelmintic (Schistosoma)