9021. Tabun

Nomenclature

CAS number: 77-81-6
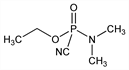
Dimethylphosphoramidocyanidic acid, ethyl ester; ethyl N-dimethylphosphoramidocyanidate; dimethylamidoethoxyphosphoryl cyanide; GA.
C5H11N2O2P; mol wt 162.13.
C 37.04%, H 6.84%, N 17.28%, O 19.74%, P 19.10%.

Description and references

Nerve gas; potent cholinesterase inhibitor similar in structure and activity to sarin and soman, q.q.v. Prepd from dimethylamidophosphoryl dichloride and sodium cyanide in the presence of ethanol: Holmstedt, Acta Physiol. Scand. 25, Suppl. 90, 26 (1951). Synthesis of dimethylamidophosphoryl dichloride: Michaelis, Ann. 326, 129 (1903). Alternate synthetic route: B. C. Saunders, Some Aspects of the Chemistry and Toxic Action of Organic Compounds Containing Phosphorus and Fluorine (Cambridge, 1957) p 91. Toxicity study: B. Holmstedt, Pharmacol. Rev. 11, 567 (1959). Brief review: Schrader, Die Entwicklung neuer insektizider Phosphorsure-Ester (Verlag Chemie, Weinheim, 1963) p 3; B. L. Harris in Kirk-Othmer Encyclopedia of Chemical Technology vol. 5 (Wiley-Interscience, New York, 4th ed., 1993) pp 795-816.

Chemical structure

Properties

Liquid. Fruity odor reminiscent of bitter almonds. d 1.077. mp 50°. bp760 240°; bp10 120°; bp9 100-108°. nD20 1.4250. IR absorption: Acta Chem. Scand. 5, 1179 (1951). Readily sol in organic solvents. Miscible with water, but quickly hydrolyzed. Destroyed by bleaching powder (chlorinated lime), but gives rise to cyanogen chloride. Extremely poisonous. LD50 i.p. in mice: 0.6 mg/kg (Holmstedt).

Caution

Potential symptoms of overexposure by inhalation are constriction of pupils of the eye, difficulty breathing followed by bronchial constriction, convulsions, death. Also toxic due to absorption through skin and eyes. See Chem. Eng. News 31, 4676 (1953).

Use

Chemical warfare agent.