9103. Technetium 99mTc Teboroxime

Nomenclature

CAS number: 104716-22-5
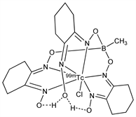
(TPS-7-1-232′4′54)-[Bis[(1,2-cyclohexanedione dioximato)(1-)-O] [(1,2-cyclohexanedione dioximato)(2-)-O]methylborato(2-)-N,N′,N′′,N''',N′′′′,N′′′′′]chlorotechnetium-99mTc; CDO-MeB; SQ-30217; Cardiotec (BMS).
C19H29BClN6O699mTc.

Description and references

Neutral, lipophilic technetium complex classified as a boronic acid adduct of technetium dioxime (BATO); radioactive myocardial perfusion imaging agent. Prepn: A. D. Nunn et al., EP 199260; eidem, US 4705849 (1986, 1987 both to Squibb); and structural characterization: E. N. Treher et al., Inorg. Chem. 28, 3411 (1989). Pharmacokinetics: R. E. Stewart et al., J. Nucl. Med. 31, 1183 (1990). Reviews of physiologic properties and pharmacology: D. J. Meerdink, J. A. Leppo, Am. J. Cardiol. 66, 9E-15E (1990); of clinical pharmacokinetics and comparative studies of myocardial imaging: L. L. Johnson, D. W. Seldin, ibid. 63E-67E; of diagnostic use in coronary artery disease: J. A. Leppo et al., J. Nucl. Med. 32, 2012-2022 (1991).

Chemical structure

Therapeutic Category

Diagnostic aid (radioactive imaging agent).

Keywords

Diagnostic Aid (Radioactive Imaging Agent)