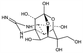
9246. Tetrodotoxin

Nomenclature

CAS number: 4368-28-9
Octahydro-12-(hydroxymethyl)-2-imino-5,9:7,10a-dimethano-10aH-[1,3]dioxocino[6,5-d]pyrimidine-4,7,10,11,12-pentol; maculotoxin; spheroidine; tarichatoxin; tetrodontoxin; fugu poison; TTX.
C11H17N3O8; mol wt 319.27.
C 41.38%, H 5.37%, N 13.16%, O 40.09%.

Description and references

Toxin from the ovaries and liver of many species of Tetraodontidae, esp the globe fish (Spheroides rubripes): Yokoo, J. Chem. Soc. Jpn. 71, 590 (1950), C.A. 45, 6759c (1951). Identity with tarichatoxin: Buchwald et al., Science 143, 474 (1963); with maculotoxin: D. D. Sheumack et al., ibid. 199, 188 (1978). Structure studies: Goto et al., Tetrahedron Lett. 1963, 2105, 2115; 1964, 779, 1831. Structure: Woodward, Pure Appl. Chem. 9, 49 (1964); Tsuda et al., Chem. Pharm. Bull. 12, 1357 (1964); Goto et al., Tetrahedron 21, 2059 (1965). Synthetic studies: Kishi et al., Tetrahedron Lett. 1970, 5127, 5129. Total synthesis: Kishi et al., J. Am. Chem. Soc. 94, 9219 (1972). Pharmacology: Evans, Br. Med. Bull. 25, 263 (1969); Kao, Fed. Proc. 31, 1117 (1972). Mechanism of action: Narahashi, ibid. 1124. Toxicity study: C. Y. Kao, F. A. Fuhrman, J. Pharmacol. Exp. Ther. 140, 31 (1963). Review: Scheuer, Fortschr. Chem. Org. Naturst. 22, 265 (1964); Mosher et al., Science 144, 1100 (1964); Kao, Pharmacol. Rev. 18, 997 (1966); Evans, Int. Rev. Neurobiol. 15, 83 (1972); of total systheses: U. Koert, Angew. Chem. Int. Ed. 43, 5572-5576 (2004).

Chemical structure

Properties

Darkens above 220° without dec. [α]D25 -8.64° (c = 8.55 in dil acetic acid). pKa: 8.76 (water); 9.4 (50% alc). Sol in dil acetic acid; slightly sol in water, dry alc, ether. Practically insol in other organic solvents. Toxin destroyed in strong acids and in alkaline solns. LD50 i.p. in mice: 10 μg/kg (Kao, Fuhrman).