9247. Tetrofosmin

Nomenclature

CAS number: 127502-06-1
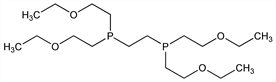
6,9-Bis(2-ethoxyethyl)-3,12-dioxa-6,9-diphosphatetradecane; ethylenebis[bis(2-ethoxyethyl)phosphine]; P53.
C18H40O4P2; mol wt 382.46.
C 56.53%, H 10.54%, O 16.73%, P 16.20%.

Description and references

Prepn: J. D. Kelly et al., EP 337654; eidem, US 5045302 (1989, 1991 both to Amersham). Pharmacology and determn of radiochemical purity: idem et al., J. Nucl. Med. 34, 222 (1993). Clinical biodistribution: B. Higley et al., ibid. 30. Clinical trial as a myocardial perfusion imaging agent: B. L. Zaret et al., Circulation 91, 313 (1995).

Chemical structure

Derivative

99mTc-Complex.

Nomenclature

CAS number: 127455-27-0
99mTc tetrofosmin; [99mTc(tetrofosmin)2O2]+; PPN1011; Myoview (GE Healthcare).
C36H80O10P499mTc.

Therapeutic Category

99mTc-Complex as diagnostic aid (radioactive imaging agent).

Keywords

Tetrofosmin Complex with 99mTc: Diagnostic Aid (Radioactive Imaging Agent)