9380. Threonine

Nomenclature

CAS number: 72-19-5
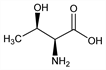
l-Threonine; Thr; T; (2S,3R)-2-amino-3-hydroxybutyric acid; α-amino-β-hydroxybutyric acid.
C4H9NO3; mol wt 119.12.
C 40.33%, H 7.62%, N 11.76%, O 40.29%.

Description and references

An essential amino acid for human development; last of the common amino acids to be discovered. Identified in oat protein: S. B. Schryver, H. W. Buston, Proc. R. Soc. London 99B, 476 (1925/6); isolated from blood fibrin: W. C. Rose, J. Biol. Chem. 109, 77 (1935). Structure: C. E. Meyer, W. C. Rose, ibid. 115, 721 (1936). Early chemistry and biochemistry: Amino Acids and Proteins, D. M. Greenberg, Ed. (Charles C. Thomas, Springfield, IL, 1951) 950 pp., passim; J. P. Greenstein, M. Winitz, Chemistry of the Amino Acids vols 1-3 (John Wiley and Sons, Inc., New York, 1961) pp. 2238-2258, passim. GC/MS metabolism study: O. Ballevre et al., Anal. Biochem. 193, 212 (1991). Clinical evaluation in amyotrophic lateral sclerosis: J. B. Roufs, Med. Hypotheses 34, 20 (1991); O. Blin et al., J. Neurol. 239, 79 (1992). Review of microbial production: Daoust, Dev. Ind. Microbiol. 7, 41 (1966); R. Bhattacharyya et al., Hind. Antibiot. Bull. 30, 54-65 (1988). Review of biosynthesis: G. N. Cohen in Amino Acids, Biotechnol. Ser. 3, 147-171 (1983); of regulation of biosynthesis: G. Galili, Plant Cell 7, 899-906 (1995).

Chemical structure

Properties

Crystals, dec 255-257°. [α]D26 28.3° (c = 1.09). pK1′ 2.63; pK2′ 10.43. Freely sol in water. Insol in common neutral solvents.

Derivative

dl-Form hemihydrate.

Properties

Orthorhombic crystals, dec 229-230°.