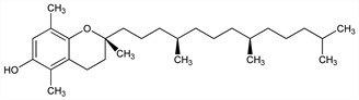
9496. β-Tocopherol

Nomenclature

CAS number: 16698-35-4; 148-03-8 (dl-form)
(2R)-3,4-Dihydro-2,5,8-trimethyl-2-[(4R,8R)-4,8,12-trimethyltridecyl]-2H-1-benzopyran-6-ol; (+)-2,5,8-trimethyl-2-(4,8,12-trimethyltridecyl)-6-chromanol; 5,8-dimethyltocol; cumotocopherol; neotocopherol; p-xylotocopherol.
C28H48O2; mol wt 416.68.
C 80.71%, H 11.61%, O 7.68%.

Description and references

One of the naturally occurring forms of vitamin E, q.v. Is biologically less active than α-tocopherol. May be separated by fractional crystn: Emerson et al., Science 83, 421 (1936); J. Biol. Chem. 113, 319 (1936); Baxter et al., J. Am. Chem. Soc. 65, 918 (1943).

Chemical structure

Properties

Pale yellow, viscous oil. bp0.1 200-210°. [α]546.125 +2.9° (c = 7.15 in ethanol). uv max: 297 nm (E1cm1% 87.6). Insol in water. Freely sol in oils, fats, acetone, alcohol, chloroform, ether, other fat solvents. Very stable to heat and alkalies. Slowly oxidized by atmospheric oxygen, rapidly by ferric and silver salts. Gradually darkens on exposure to light.