12-00509. Amiton [Archived]

Nomenclature

CAS number: 78-53-5
S-[2-(Diethylamino)ethyl]phosphorothioic acid O,O-diethyl ester; O,O-diethyl S-(β-diethylamino)ethyl phosphorothiolate; Inferno; Metramac; Tetram.
C10H24NO3PS; mol wt 269.34.
C 44.59%, H 8.98%, N 5.20%, O 17.82%, P 11.50%, S 11.91%.

Description and references

Prepn: Ghosh, Newman, Chem. Ind. (London) 1955, 118; Fukuto, Stafford, J. Am. Chem. Soc. 79, 6083 (1957); Lorenz, Schrader, US 3082240 (1963 to Bayer). Toxicity studies: Shaffer, West, Toxicol. Appl. Pharmacol. 2, 1 (1960); Frawley et al., ibid. 5, 605 (1963).

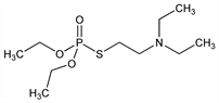
Chemical structure

Properties

Liquid. bp0.01 76°; bp0.2 110°. nD27 1.4655. LD50 orally in rats: 5.4 mg/kg (Frawley).

Derivative

Acid oxalate (hydrogen oxalate).
C10H24NO3PS.C2H2O4; mol wt 359.38.
C 40.10%, H 7.29%, N 3.90%, O 31.16%, P 8.62%, S 8.92%.

Properties

Crystals from isopropanol + ether, mp 98-99°. LD50 orally in male albino rats: 9 mg/kg (Shaffer, West).

Caution

Cholinesterase inhibitor.

Use

Contact insecticide, miticide.

Status

This monograph has been retired and is no longer subject to revision or update.