12-05909. Meprylcaine [Archived]

Nomenclature

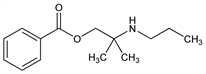
CAS number: 495-70-5
2-Methyl-2-(propylamino)-1-propanol benzoate (ester); β-(n-propylamino)-β,β-dimethylethyl benzoate; 2-methyl-2-propylaminopropyl benzoate; Oracaine.
C14H21NO2; mol wt 235.32.
C 71.46%, H 8.99%, N 5.95%, O 13.60%.

Description and references

Prepn: Reasenberg, US 2767207 (1956 to Mizzy).

Chemical structure

Properties

Oil. Practically insol in water. Sol in alcohol, ether, acetone, oils.

Derivative

Hydrochloride.

Nomenclature

CAS number: 956-03-6
C14H21NO2.HCl; mol wt 271.78.
C 61.87%, H 8.16%, N 5.15%, O 11.77%, Cl 13.04%.

Properties

Crystals, mp 150-151°. Sol in water, alcohol. pH of 1:50 aq soln: 5.7.

Therapeutic Category

Anesthetic (local).

Keywords

Anesthetic (Local)

Status

This monograph has been retired and is no longer subject to revision or update.