13-00384. Ambuphylline [Archived]

Nomenclature

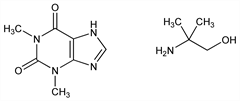
CAS number: 5634-34-4
3,7-Dihydro-1,3-dimethyl-1H-purine-2,6-dione compd with 2-amino-2-methyl-1-propanol (1:1); theophylline aminoisobutanol; theophylline compd with 2-amino-2-methyl-1-propanol; bufylline; Butaphyllamine.
C11H19N5O3; mol wt 269.30.
C 49.06%, H 7.11%, N 26.01%, O 17.82%.

Description and references

Prepn: Shelton, US 2404319 (1946 to Wm. S. Merrell). Toxicity studies: Thompson, Warren, J. Clin. Med. 31, 1337 (1946).

Chemical structure

Properties

Crystals, mp 254-256°. Soly in water about 55%. LD50 i.v. in rabbits: 163 mg/kg; orally in mice: 600 mg/kg, (Thompson, Warren).

Therapeutic Category

Bronchodilator.

Keywords

Bronchodilator; Xanthine Derivatives

Status

This monograph has been retired and is no longer subject to revision or update.