13-01831. Carbophenothion [Archived]

Nomenclature

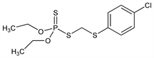
CAS number: 786-19-6
Phosphorodithioic acid S-[[(4-chlorophenyl)thio]methyl] O,O-diethyl ester; S-[[(p-chlorophenyl)thio]methyl] O,O-diethyl phosphorodithioate; O,O-diethyl S-(p-chlorophenylthio)methyl phosphorodithioate; R-1303; Garrathion (Stauffer); Trithion (Stauffer).
C11H16ClO2PS3; mol wt 342.87.
C 38.53%, H 4.70%, Cl 10.34%, O 9.33%, P 9.03%, S 28.06%.

Description and references

Prepn: Fancher, US 2793224 (1957 to Stauffer). Toxicity study: T. B. Gaines, Toxicol. Appl. Pharmacol. 14, 515 (1969).

Chemical structure

Properties

Light amber liquid. bp0.01 82°. d425 1.271. nD25 1.5970; nD26 1.6198 (Fancher). Very low vapor pressure. Practically insol in water. Miscible with vegetable oils and most organic solvents. LD50 in female, male rats (mg/kg): 10, 30 orally; 27, 54 dermally (Gaines).

Caution

Cholinesterase inhibitor.

Use

Miticide; insecticide.

Status

This monograph has been retired and is no longer subject to revision or update.