13-04385. Garryine [Archived]

Nomenclature

CAS number: 561-51-3
C22H33NO2; mol wt 343.50.
C 76.92%, H 9.68%, N 4.08%, O 9.32%.

Description and references

From bark of Garrya veatchii Kellog, Garryaceae, where it occurs together with veatchine and other alkaloids: Oneto, J. Am. Pharm. Assoc. 35, 204 (1946); Wiesner et al., Can. J. Chem. 30, 608 (1952). Structure: Wiesner et al.: J. Am. Chem. Soc. 76, 6068 (1954); Djerassi et al., ibid. 77, 4801 (1955). Stereochemistry: Solo, Pelletier, Chem. Ind. (London) 1960, 1108. Racemic syntheses and resolution: Masamune, J. Am. Chem. Soc. 86, 290 (1964); Nagata et al., ibid. 929, 89, 1499 (1967); Guthrie et al., Collect. Czech. Chem. Commun. 31, 602 (1966).

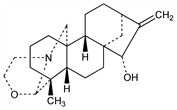
Chemical structure

Derivative

Monohydrate.

Properties

Crystals from dil acetone. Bitter taste, mp 74-82°. pK 8.70. [α]D27.5 84.23° (c = 1.44 in ethanol). Sol in water, alcohol.

Derivative

Hydrochloride.
C22H33NO2.HCl; mol wt 379.96.
C 69.54%, H 9.02%, N 3.69%, O 8.42%, Cl 9.33%.

Properties

Crystals from abs ethanol + ether, dec 263-268°. Soluble in water.

Status

This monograph has been retired and is no longer subject to revision or update.