13-05121. Isazofos [Archived]

Nomenclature

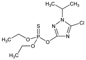
CAS number: 42509-80-8
Phosphorothioic acid O-[5-chloro-1-(1-methylethyl)-1H-1,2,4-triazol-3-yl] O,O-diethyl ester; O-(5-chloro-1-isopropyl-1H-1,2,4-triazol-3-yl) O,O-diethyl phosphorothioate; isazophos; CGA-12223; Brace; Miral (Syngenta); Triumph (Syngenta).
C9H17ClN3O3PS; mol wt 313.74.
C 34.45%, H 5.46%, Cl 11.30%, N 13.39%, O 15.30%, P 9.87%, S 10.22%.

Description and references

Organophosphate pesticide. Prepn: D. Dawes, B. Bhner, DE 2260015; eidem, US 3867396 (1973, 1975 both to Ciba-Geigy); B. Bhner et al., Kem. - Kemi 1, 585 (1974). Physical properties and nematocidal activity: D. Dawes et al., Meded. Fac. Landbouwwet. Rijksuniv. Gent 39, 727 (1974). Persistence in turfgrass thatch and soil: H. D. Niemczyk, H. R. Krueger, J. Econ. Entomol. 80, 950 (1987).

Chemical structure

Properties

Amber liquid, bp0.001 100°; bp760 170°. nD20 1.4867. d20 1.22. Vapor pressure at 20°: 1.3×104 mm Hg. Soly (20°): 150 ppm in water. Miscible with methanol, chloroform, benzene, hexane. LD50 in rats (mg/kg): 60 orally; 250-700 dermally (Dawes).

Caution

Cholinesterase inhibitor.

Use

Nematocide; turf insecticide.

Status

This monograph has been retired and is no longer subject to revision or update.