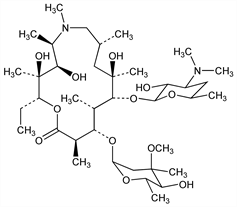
915. Azithromycin

Nomenclature

CAS number: 83905-01-5
(2R,3S,4R,5R,8R,10R,11R,12S,13S,14R)-13-[(2,6-Dideoxy-3-C-methyl-3-O-methyl-α-l-ribo-hexopyranosyl)oxy]-2-ethyl-3,4,10-trihydroxy-3,5,6,8,10,12,14-heptamethyl-11-[[3,4,6-trideoxy-3-(dimethylamino)-β-d-xylo-hexopyranosyl]oxy]-1-oxa-6-azacyclopentadecan-15-one; N-methyl-11-aza-10-deoxo-10-dihydroerythromycin A; 9-deoxo-9a-methyl-9a-aza-9a-homoerythromycin A.
C38H72N2O12; mol wt 748.98.
C 60.94%, H 9.69%, N 3.74%, O 25.63%.

Description and references

Semi-synthetic macrolide antibiotic; related to erythromycin A, q.v. Prepn: BE 892357; G. Kobrehel, S. Djokic, US 4517359 (1982, 1985 both to Sour Pliva); of the crystalline dihydrate: D. J. M. Allen, K. M. Nepveux, EP 298650; eidem, US 6268489 (1989, 2001 both to Pfizer). Antibacterial spectrum: S. C. Aronoff et al., J. Antimicrob. Chemother. 19, 275 (1987); and mode of action: J. Retsema et al., Antimicrob. Agents Chemother. 31, 1939 (1987). LC-MS determin in plasma: B.-M. Chen et al., J. Pharm. Biomed. Anal. 42, 480 (2006). Series of articles on pharmacology, pharmacokinetics, and clinical experience: J. Antimicrob. Chemother. 31, Suppl. E, 1-198 (1993). Clinical trial in prevention of Pneumocystis carinii pneumonia in AIDS patients: M. W. Dunne et al., Lancet 354, 891 (1999); in cystic fibrosis: A. Clement et al., Thorax 61, 895 (2006); in P. vivax malaria: M. W. Dunne et al., Am. J. Trop. Med. Hyg. 73, 1108 (2005). Review of pharmacology and clinical efficacy in pediatric infections: H. D. Langtry, J. A. Balfour, Drugs 56, 273-297 (1998). Review of clinical evaluation in lower respiratory tract infections: F. Blasi et al., Expert Opin. Pharmacother. 6, 2335-2351 (2005).

Chemical structure

Properties

Amorphous solid, mp 113-115°. [α]D20 37° (c = 1 in CHCl3).

Derivative

Dihydrate.

Nomenclature

CAS number: 117772-70-0
CP-62993; XZ-450; Azitrocin (Pfizer); Ribotrex (Fabre); Sumamed (Pliva); Trozocina (Sigma-Tau); Zithromax (Pfizer); Zitromax (Pfizer).

Properties

White crystalline powder. mp 126°. [α]D26 41.4° (c = 1 in CHCl3).

Therapeutic Category

Antibacterial.

Therapeutic Category (Veterinary)

Antibacterial.

Keywords

Antibacterial (Antibiotics); Macrolides