1470. Budralazine

Nomenclature

CAS number: 36798-79-5
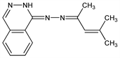
1(2H)-Phthalazinone (1,3-dimethyl-2-butenylidene)hydrazone; 4-methyl-3-penten-2-one (1-phthalazinyl)hydrazone; mesityl oxide (1-phthalazinyl)hydrazone; DJ-1461; Buterazine (Daiichi).
C14H16N4; mol wt 240.30.
C 69.97%, H 6.71%, N 23.32%.

Description and references

Deriv of hydralazine, q.v. Prepn: K. Ueno et al., DE 2145359; eidem, US 3840539 (1972, 1974 both to Daiichi Seiyaku); eidem, Chem. Pharm. Bull. 24, 1068 (1976). Pharmacology: A. Akashi et al., Eur. J. Pharmacol. 29, 161 (1974); eidem, Arch. Int. Pharmacodyn. Ther. 235, 134 (1978). Metabolism: R. Moroi et al., Chem. Pharm. Bull. 24, 2850 (1976); K. Ono et al., Xenobiotica 9, 227 (1979). Toxicity study: T. Onodera et al., Toxicol. Appl. Pharmacol. 44, 431 (1978). Reproduction studies: Oyo Yakuri 21, 313-350 (1981), C.A. 95, 73764y-7b (1981). Series of articles on cardiovascular action, α-adrenergic effects, antihypertensive and general pharmacological properties: Arzneim.-Forsch. 31, 1072-1087 (1981). Characterization of vasodilator action: T. Chiba et al., ibid. 33, 112 (1983).

Chemical structure

Properties

Crystals from isopropyl ether, mp 132-133°. uv max (methanol): 208, 240, 289, 357 nm (ε 27000, 89000, 20000, 15000). LD50 in mice, rats (mg/kg): 1820, 620 orally; 4020, 3570 i.p. (Onodera).

Therapeutic Category

Antihypertensive.

Keywords

α-Adrenergic Agonist; Antihypertensive; Hydrazines/Phthalazines