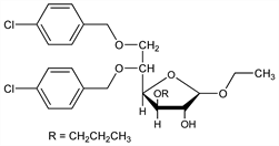
2361. Clobenoside

Nomenclature

CAS number: 29899-95-4
Ethyl 5,6-bis-O-[(4-chlorophenyl)methyl]-3-O-propyl-d-glucofuranoside; ethyl 3-O-n-propyl-5,6-di-O-(4-chlorobenzyl)-d-glucofuranoside; ZY-15028; Arvigol (Zyma); Floganol (Zyma).
C25H32Cl2O6; mol wt 499.42.
C 60.12%, H 6.46%, Cl 14.20%, O 19.22%.

Description and references

Congener of tribenoside, q.v. Prepn: NL 6812906; A. Rossi, US 3542761 (1969, 1970 both to Ciba). Pharmacology and bioavailability in cats: G. Hennings et al., Arzneim.-Forsch. 35, 498 (1985). Effect on glycoprotein biosynthesis in vitro: W. Reutter, C. Bauer, Adv. Enzyme Regul. 24, 405 (1985). Mechanism of action study: D. Araujo et al., Arch. Int. Pharmacodyn. 277, 192 (1985).

Chemical structure

Properties

Faintly yellowish oil, [α]D20 -17 ±1° (c = 1 in chloroform). Poorly sol in water.

Therapeutic Category

Vasoprotectant.

Keywords

Vasoprotectant