4046. Ferrous Fumarate

Nomenclature

CAS number: 141-01-5
(2E)-2-Butenedioic acid iron(2+) salt (1:1); Erco-Fer (Orion); Ferronat (Galena); Ferrotemp (Medix); Fersaday (Goldshield); Fersamal (Goldshield); Fumafer (Sanofi-Synthelabo); Fumiron (Sanofi-Synthelabo); Galfer (Thornton & Ross); Heferol (Alkaloid); Ircon (Kenwood); Meterfer (Sinclair); Palafer (GSK); Toleron (Mallinckrodt); Tolferain (Ascher).
C4H2FeO4; mol wt 169.90.
C 28.28%, H 1.19%, Fe 32.87%, O 37.67%.

Description and references

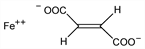
Carboxyl groups in the fumarate act as bidentate ligands; overall structure is polymeric. Prepn: H. C. Bertsch, J. F. Lemp, US 2848366 (1958 to Mallinckrodt); and structural studies: C. P. Prabhakaran, C. C. Patel, Indian J. Chem. 7, 266 (1969). Animal toxicity and human studies in treatment of anemia: M. C. Berenbaum et al., Blood 15, 540 (1960). Pharmacokinetics in rats: F. Ryszka et al., Boll. Chim. Farm. 137, 178 (1998). Clinical evaluation in dietary iron fortification: R. F. Hurrell et al., Br. J. Nutr. 65, 271 (1991); with ascorbic acid, q.v., in anemia in infants: S. Zlotkin et al., Am. J. Clin. Nutr. 74, 791 (2001).

Chemical structure

Properties

Reddish-orange to reddish-brown, granular powder. d25 2.435. Odorless; almost tasteless. Practically insol in water and common organic solvents including styrene and α-methylstyrene. LD50 in mice, rats (mg Fe/kg): 630, 580 orally (Berenbaum).

Therapeutic Category

Hematinic.

Keywords

Hematinic