8206. Ribostamycin

Nomenclature

CAS number: 25546-65-0
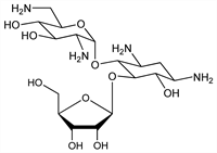
O-2,6-Diamino-2,6-dideoxy-α-d-glucopyranosyl-(1→4)-O-[β-d-ribofuranosyl-(1→5)]-2-deoxy-d-streptamine; SF-733 antibiotic.
C17H34N4O10; mol wt 454.47.
C 44.93%, H 7.54%, N 12.33%, O 35.20%.

Description and references

Aminocyclitol antibiotic belonging to the neomycin, q.v., group of antibiotics. Produced by Streptomyces ribosidificus (formerly called S. thermoflavus). Taxonomy, isoln and toxicity data: T. Shomura et al., J. Antibiot. 23, 155 (1970). Prepn: eidem, DE 1814735 corresp to US 3661892, US 3799842 (1969, 1972, 1974 all to Meiji). Structure: E. Akita et al., J. Antibiot. 23, 173 (1970). Synthesis from neamine, q.v.: Ito et al., Antimicrob. Agents Chemother. 1970, 33; eidem, Agric. Biol. Chem. 34, 980 (1970); V. Kumar, W. A. Remers, J. Org. Chem. 43, 3327 (1978); 46, 4298 (1981). Total synthesis: H. Fukami et al., Tetrahedron Lett. 1976, 545; eidem, Agric. Biol. Chem. 41, 1689 (1977). In vitro antibacterial activity: E. Yourassowsky, M. P. Vander Linden, Arzneim.-Forsch. 26, 184 (1976).

Chemical structure

Properties

Colorless needles from methanol, mp 192-195°. Also reported as monohydrate from water-methanol-ethanol, mp 175-180° (dec). [α]D23 +42°. pKa′ 7.70. Stable in neutral and alkaline solns; slightly unstable in acidic media. Sol in water; slightly sol in methanol. Practically insol in acetone, n-butanol, ethyl acetate, benzene, hexane, ether.

Derivative

Sulfate.

Nomenclature

CAS number: 53797-35-6
Ibistacin (IBI); Landamycine (Delalande); Ribostamin (Delalande); Ribomycine (Delalande); Vistamycin (Meiji).

Properties

White or yellowish powder. [α]D20 +39° (c = 1). LD50 i.v. in mice: 225 mg/kg (Shomura).

Therapeutic Category

Antibacterial.

Keywords

Antibacterial (Antibiotics); Aminoglycosides