10299. Carnosic Acid

Nomenclature

CAS number: 3650-09-7
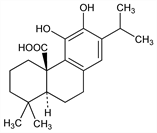
(4aR,10aS)-1,3,4,9,10,10a-Hexahydro-5,6-dihydroxy-1,1-dimethyl-7-(1-methylethyl)-4a(2H)-phenanthrenecarboxylic acid; 11,12-dihydroxy-13-isopropylpodocarpa-8,11,13-trien-17-oic acid; salvin.
C20H28O4; mol wt 332.43.
C 72.26%, H 8.49%, O 19.25%.

Description and references

Phenolic diterpene antioxidant principally found in rosemary and sage. Readily cyclizes to form the lactone, carnosol, q.v.; precursor for structurally similar antioxidants found in these plants. Isoln from Salvia officinalis L., Lamiaceae: H. Linde, Helv. Chim. Acta 47, 1234 (1964) DOI; from Rosmarinus officinalis L., Lamiaceae: E. Wenkert et al., J. Org. Chem. 30, 2931 (1965) DOI. Configuration: C. R. Narayanan, H. Linde, Tetrahedron Lett. 6, 3647 (1965) DOI. Antioxidant activity in lipid systems: C. H. Brieskorn, H.-J. Dmling, Z. Lebensm.-Unters. Forsch. 141, 10 (1969) DOI; A. I. Hopia et al. J. Agric. Food Chem. 44, 2030 (1996) DOI. Mechanism of antioxidant action: T. Masuda et al., ibid. 49, 5560 (2001) DOI PubMed. HPLC determn in rosemary extracts and comparison with derivative antioxidant compds: S. L. Richheimer et al., J. Am. Oil Chem. Soc. 73, 507 (1996) DOI. HPLC determn in foods: W. Ternes, K. Schwarz, Z. Lebensm.-Unters. Forsch. 201, 548 (1995) DOI; in antioxidant food packaging material: K. Bentayeb et al., Anal. Bioanal. Chem. 389, 1989 (2007) DOI PubMed.

Chemical structure

Properties

Prisms from ether-pentane, mp 196-215° (dec); [α]D22 +139.8 ±2° (c = 1.15 in chloroform) (Linde). Also reported as colorless crystals from hexane, mp 185-190° (dec); [α]D23 +191° (c = 1.07 in MeOH) (Wenkert).

Use

Antioxidant in edible oils, meats, and other fat containing foods.